护理动态
【患者之声】以心换心,医患情深 | 心内科 (7D)收获暖心致谢
一纸手写感谢信,一面烫金锦旗,背后是一场跨越病痛的医患温情。
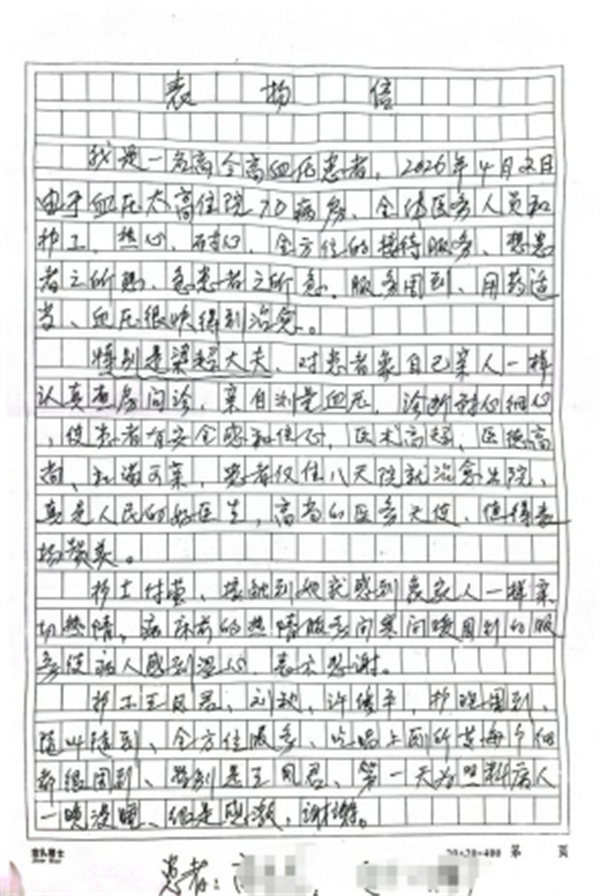
2026年4月,一位高龄高血压患者在清华大学附属垂杨柳医院心内科(7D)顺利康复,亲笔写下满页谢意,将所有感激凝于笔端,为医护团队的仁心仁术写下最动人的注脚。
暖心致谢:锦旗寄深情


暖红绒布搭配鎏金大字,“医术精湛祛病痛,医德高尚暖人心”格外温情,这面沉甸甸的锦旗,是患者对科室医护人员最直白的认可,更是医患之间最温暖的双向奔赴。
没有华丽辞藻,只有朴实真挚的话语,一笔一划都饱含着患者康复后的感激,字里行间满是对梁超医生及全体护理团队的认可与赞许。
2026年4月2日,这位高龄患者因血压急剧升高,紧急入住7D心内科病房。入院时患者身体不适、情绪焦虑,科室医护团队第一时间接诊,快速制定诊疗方案,用专业与耐心安抚患者情绪,全程提供细致入微的照护。
主治医生梁超,待患如亲、尽职尽责,每日坚持亲自查房、监测血压,细致问诊、精准施治,不仅用精湛医术快速控制患者病情,更时刻关注患者情绪,用暖心沟通给予患者满满的安全感。短短8天,患者便顺利出院,特意在信中由衷称赞:“真是人民的好医生,高尚的医务天使,值得表扬赞美!”
护理团队的守护同样温暖人心:护士付莹亲切热情,时刻嘘寒问暖,用贴心服务抚平患者不安;护工王凤君、刘秋、许俊平随叫随到,护理细致周全,将关怀融入日常起居的每一个细节;尤其是王凤君护士,为照料患者彻夜坚守,这份责任与担当,让患者和家属深深感动。
一面锦旗,是信任,是肯定;
一封感谢信,是心意,是温情。
医者有仁心,患者有感恩,这便是病房里最动人的风景。清华大学附属垂杨柳医院心内科(7D)全体医护人员,将始终坚守医者初心,以精湛医术守护健康,以暖心服务传递温情,用责任与担当,守护每一位患者的平安与健康。
用心行医 以爱守护 清华大学附属垂杨柳医院心内科(7D) 竭诚为您保驾护航。
- 标签:
- 心内科








京公网安备11010502033717号